Implementing Trigonometry in SCSS
... and lessons learnt

By Weiyuan Liu
Problem
![]()
"Context"
![]()
Solutions
![]()
Many solutions
Spoiler in title 😣
Solution #1 : "GIF"
Is it pronouced `gee-if` or "jee-if" ?Solution #1 : "GIF"
How ?
- Save animation as a GIF
- Host the GIF file somewhere
- Load the GIF asset
What ?
![]()
Why not ?
- File size can be big even at low resolutions
![]()
Why not ?
- File size can be big even at low resolutions
- Lower FPS vs file size
- Resize and Scaling (reusability) issues
- How do I even "GIF" ?
Solution #2 : Animation Libraries
Making our problem other people's problemSolution #2 : Animation Libraries
How ?
- Create animation (online editor / photoshop)
- Export JSON file
- Load animation library
- Load JSON file
Why ?
![]()
Why ?
- Smaller file size
- Simple to use
- JSON file usable across platforms
Why not ?
- Need photoshop skills ?
- High initialisation cost
![]()
It's time to engineer it ourselves!
"Weiyuan, why are you looking up Wikipedia for trigonometry?" - ManagerSolution #3 : CSS
How ?
- Implement CSS styles
- Load CSS Stylesheet
- That's it?
Breaking down the problem
- Hexagon
- Rotation Animation
- Hexagons of different sizes
- Clockwise and Anti-clockwise animation for each hexagon
Breaking down the problem
- Hexagon
- Rotation Animation
- Hexagons of different sizes
- Clockwise and Anti-clockwise animation for each hexagon
Hexagon
- Draw a <div /> with top and bottom border
- Do the same for ":before", rotate 60°
- Do the same for ":after", rotate -60°
Height !== Side (width)
![]()
Re-examine the hexagon
![]()
#toacahsoh
Solution #3.1 : CSS Sass
Using the SCSS syntaxFAQ : Why not SVG ?
SVG is used by 29.7% of all the websites 11 - Fun fact from W3Techs
FAQ : Why not SVG ?
Smallest file size !!!
![]()
Why not ?
- Build process = Sass + SVG
What if my Sass functions break ?
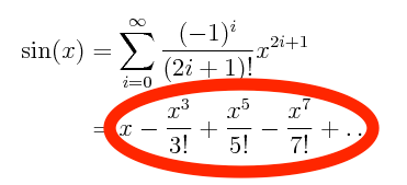
Can we even unit test CSS ?What if my SCSS functions break ?
Writing a test for factorial method
![]()
It works!
![]()
Trigonometry in CSS - WIP ?
Maybe? Soon!
![]()